-
[Machine Learning] 피셔의 선형 판별 분석(Fisher Linear Discriminant Analysis)Informatik 2022. 2. 17. 18:35
※ [Machine Learning] 상관계수(Correlation Coefficient)
[Machine Learning] 상관계수(Correlation Coefficient)
상관계수는 두 변수 사이의 통계적 관계를 표현하기 위해 특정한 상관관계의 정도를 수치적으로 나타낸 계수이다. [wikipedia] $\mathbf {x}_t \in \mathbb {R}^{T \times 1}$과 $\mathbf {y} \in \mathbb {R}^{T..
minicokr.com

일차원 데이터 $\mathbf {x} \sim \mathcal {N} (0, 1)$와 노이즈(Noise) $\epsilon \sim \mathcal {N} (0, 1)$가 주어질 때, $y = \gamma \mathbf {x} + \sqrt {1 - \gamma^2} \epsilon$ 신호가 출력된다고 하자. 이때, 신호 대 잡음비는 $\frac {\gamma^2}{1 - \gamma^2}$다.
SNR(Signal-to-Noise-Ratio):
$$SNR = \frac {P_{signal}}{P_{noise}} = \left (\frac {A_{signal}}{A_{noise}} \right )^2$$
이제, 일차원 데이터 $\mathbf {x} \in \mathbb {R}$가 주어졌을 때, 클래스 $\circ$에서 $N_{\circ}$개의 데이터를, 클래스 $\triangle$에서 $N_{\triangle}$개의 데이터를 관찰한다고 하자. 이때, $\mathbf {x}_{\circ}$와 $\mathbf {x}_{\triangle}$의 분류를 위한 신호 대 잡음비는$$\frac {(\frac {1} {N_{\circ}} \sum^{N_{\circ}}_{n = 1} \mathbf {x}_{\circ}) - (\frac {1} {N_{\triangle}} \sum^{N_{\triangle}}_{n = 1} \mathbf {x}_{\triangle})} {\sqrt {(\frac {1} {N_{\circ}} \sum^{N_{\circ}}_{n = 1} \mathbf {x}_{\circ}^2) + (\frac {1} {N_{\triangle}} \sum^{N_{\triangle}}_{n = 1} \mathbf {x}_{\triangle}^2)}}$$
이며, 이를 통계학에서는 t-값(t-value)이라고 부른다.

피셔의 LDA는 두 클래스의 평균이 가까워 혹은 분산이 너무 커 두 클래스 데이터가 중첩할 때에 해결책이 될 수 있다.
※ [Machine Learning] NCC(Nearest Centroid Classifier) ← SNR이 안 좋을 때 쓰면 나쁜 예
[Machine Learning] NCC(Nearest Centroid Classifier)
※ [Machine Learning] 선형 분류(Linear Classifier) [Machine Learning] 선형 분류(Linear Classifier) 선형 분류는 일차원 혹은 다차원 데이터들을 선형 모델(Linear Model)을 이용하여 클래스들로 분류(Classi..
minicokr.com
LDA(Linear Discriminant Analysis)
※ [Machine Learning] 선형 분류(Linear Classifier)
[Machine Learning] 선형 분류(Linear Classification)
선형 분류는 일차원 혹은 다차원 데이터들을 선형 모델(Linear Model)을 이용하여 클래스들로 분류(Classification)하는 머신러닝(Machine Learning) 기법이다. 아래 예시는 2차원 데이터를 어떤 선형 모델로
minicokr.com
머신러닝을 분류 문제를 차원 축소 문제, 즉, 회귀(Regression) 측면으로 바라보면 다음 그림과 같다.

좋은 선형 분류 모델을 학습하기 위해서는
- 클래스 차이를 최대화하는
$$(\mathbf {w}^{\top} \mathbf {w}_{\circ} - \mathbf {w}^{\top} \mathbf {w}_{\triangle})^2 = \mathbf {w}^{\top} \underbrace {(\mathbf {w}_{\circ} - \mathbf {w}_{\triangle}) (\mathbf {w}_{\circ} - \mathbf {w}_{\triangle})^{\top}}_{\text {Between Class Scatter } S_B} \mathbf {w}$$ - 그리고 각 클래스의 분산을 최소화하는
$$
\begin {split}
& \frac {1}{N_{\circ}} \sum^{N_{\circ}}_{i = 1} \left ( \mathbf {w}^{\top} (\mathbf {x}_{\circ i} - \mathbf {w}_{\circ}) \right )^2 + \frac {1}{N_{\triangle}} \sum^{N_{\triangle}}_{j = 1} \left ( \mathbf {w}^{\top} (\mathbf {x}_{\triangle j} - \mathbf {w}_{\triangle}) \right )^2 \\
&= \mathbf {w}^{\top} \underbrace {\left ( \frac {1}{N_{\circ}} \sum^{N_{\circ}}_{i = 1} (\mathbf {x}_{\circ i} - \mathbf {w}_{\circ})(\mathbf {x}_{\circ i} - \mathbf {w}_{\circ})^{\top} + \frac {1}{N_{\triangle}} \sum^{N_{\triangle}}_{i = 1} (\mathbf {x}_{\triangle i} - \mathbf {w}_{\triangle})(\mathbf {x}_{\triangle i} - \mathbf {w}_{\triangle})^{\top} \right )}_{\text {Within Class Scatter } S_W} \mathbf {w}
\end {split}$$
선형 판별 함수 $\mathbf {w} \in \mathbb {R}^D$를 찾아야 한다.
따라서 피셔의 기준(Fisher Criterion)을 하나의 식으로 표현하면 다음과 같다.
$$arg \max_{\mathbf {w}} \frac {\mathbf {w}^{\top} S_B \mathbf {w}}{\mathbf {w}^{\top} S_W \mathbf {w}}$$
위의 식을 최적화하기 위해 $\frac {\partial}{\partial \mathbf {w}} \left ( \frac {\mathbf {w}^{\top} S_B \mathbf {w}}{\mathbf {w}^{\top} S_W \mathbf {w}} \right ) = 0$을 푼다.
$$
\begin {align*}
\frac {(\mathbf {w}^{\top} S_W \mathbf {w}) S_B \mathbf {w} - (\mathbf {w}^{\top} S_B \mathbf {w}) S_W \mathbf {w}}{(\mathbf {w}^{\top} S_W \mathbf {w})^2} &= 0 \\
(\mathbf {w}^{\top} S_B \mathbf {w}) S_W \mathbf {w} &= (\mathbf {w}^{\top} S_W \mathbf {w}) S_B \mathbf {w} \\
S_W \mathbf {w} &= S_B \mathbf {w} \underbrace {\frac {\mathbf {w}^{\top} S_W \mathbf {w}}{\mathbf {w}^{\top} S_B \mathbf {w}}}_{\text {scalar}}
\end {align*}
$$$$\therefore arg \max_{\mathbf {w}} \frac {\mathbf {w}^{\top} S_B \mathbf {w}}{\mathbf {w}^{\top} S_W \mathbf {w}} \rightarrow S_W \mathbf {w} = S_B \mathbf {w} \lambda$$
클래스 간 분산(Between Class Scatter) 중 뒷부분이 스칼라이므로 $S_B \mathbf {w} = (\mathbf {w}_{\circ} - \mathbf {w}_{\triangle}) \underbrace {(\mathbf {w}_{\circ} - \mathbf {w}_{\triangle})^{\top} \mathbf {w}}_{\text {scalar}}$, 결론적으로 최적의 $\mathbf {w}$는 다음과 같이 비례하다.
$$\mathbf {w} \propto S^{-1}_{W} (\mathbf {w}_{\circ} - \mathbf {w}_{\triangle})$$
예 1) 제한 조건 $\mathbf {w}^{\top} S_W \mathbf {w} = 1$이 있는 LDA 목적 함수

최적화 문제를 라그랑주 승수법(Lagrange Multipliers)으로 풀어 일반적인 고윳값 찾기 문제와 동일한 문제임을 증명했다.

따라서 최적화 문제의 답은 다음과 같다.

예 2) LDA의 유계 오차(Bounded Error of LDA)
공분산이 같은 가우시안 분포(Gaussian Distribution)를 가지는 데이터의 사후 확률(Posterior Probability) $P(w | \mathbf {x})$를 최적화 문제와 피셔의 판별식은 같다. 피셔의 LDA의 분류 유계 오차를 살펴봄으로써 평균과 공분산이 오차에 어떻게 영향을 끼치는지 알아보고자 한다.
두 개의 확률 분포로 데이터가 생성된다고 하자. $$P(\mathbf {x} | w_1) = \mathcal {N} (\mu, \Sigma), P(\mathbf {x} | w_2) = \mathcal {N} (-\mu, \Sigma) \text { with } \mathbf {x} \in \mathbb {R}^d$$
베이즈 오류율(Bayes Error Rate):
$$P(error) = \int^\infty_\infty P(error | \mathbf{x})p(\mathbf {x}) d\mathbf{x}$$다음과 같이 위로 유계(Upper-bounded) 조건부 오차(Conditional Error)를 구할 수 있다.

다음과 같이 위로 유계 베이즈 오류율을 구할 수 있다.

베이즈 결정 이론(Bayes Decision Theory)에서 배웠듯이, 사전 확률(Prior Probability) $P(w)$ 둘 중 하나가 0으로 수렴할 수록 베이즈 오류율은 매우 작아진다. 그 이유는 분류기가 항상 사전 확률이 큰 쪽으로 분류하는 경향을 갖으며, 아주 작은 확률로 사전 확률이 작은 쪽으로 잘못 분류되기 때문이다.
또, 평균 $\mu$가 클 수록 기하급수적으로 베이즈 오류율이 감소한다. 두 클래스의 평균의 차이가 클 수록 SNR은 증가하기 때문에 더 정확하게 분류할 수 있다.
LDA와 퍼셉트론의 비교(Comparison of LDA and Perceptron)
[Machine Learning] 퍼셉트론 인공신경망(Perceptron Artificial Neural Network)
※ [Machine Learning] 선형 분류(Linear Classification) [Machine Learning] 선형 분류(Linear Classification) 선형 분류는 일차원 혹은 다차원 데이터들을 선형 모델(Linear Model)을 이용하여 클래스들로 분..
minicokr.com


LDA는 클래스 간 분산을 최대화하고 클래스 내의 분산을 최소화한다. 이는 위의 예제에서도 살펴볼 수 있다. 두 클래스의 선형 판별 모델을 데이터 축소의 측면으로 바라보았을 때, LDA가 두 클래스 내의 분산을 최소화한다는 점에서 퍼셉트론의 성능을 뛰어넘었다.
[Machine Learning] 공분산 행렬(Covariance Matrix)
교차 공분산 행렬(Cross Covariance Matrix) 확률 변수(Random Variable) $X, Y$의 평균이 각각 $\mu_X, \mu_Y$일 때, 교차 공분산 행렬 $\Sigma$은 다음과 같이 정의된다. $$Cov (X, Y) = \mathbb {E} [(X- \mu_X..
minicokr.com
만약 두 클래스가 같은 공분산 행렬(Covariance Matrix)을 가질 때, LDA는 먼저 데이터를 비상관화(Decorrelate)한 후 NCC를 적용한다.
$$
\begin {split}
\mathbf {x} \mapsto sign (\mathbf {w}^{\top} \mathbf {x} - \beta)\\
\mathbf {w} \propto S^{-1}_{W} (\mathbf {w}_{\circ} - \mathbf {w}_{\triangle}
\end {split}
$$$$
\begin {split}
\mathbf {w}^{\top} \mathbf {x} = (\mathbf {w}_{\circ} - \mathbf {w}_{\triangle})^{\top} S^{-1}_{W} \mathbf {x} = \underbrace {(\mathbf {w}_{\circ} - \mathbf {w}_{\triangle})^{\top} \cup \vee^{-\frac {1}{2}}}_{\begin {split} \text {mean class difference} \\ \text {of decorrelated data} \end {split}} \underbrace {\vee^{-\frac {1}{2}} \cup^{\top} \mathbf {x}}_{\text {decorrelated } \mathbf {x}} \\
\text {where } S_{W} = \cup \vee \cup^{\top} \text { is the eigenvalue decomposition of } S_{W}
\end {split}
$$
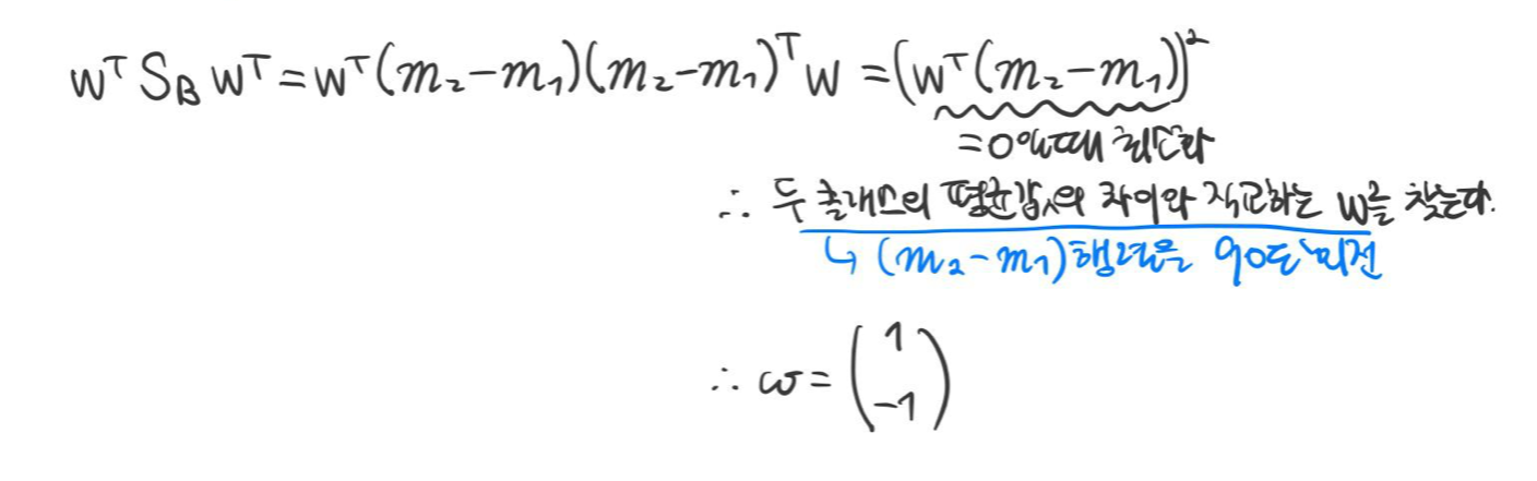
예 1) 피셔 판별식 $\mathbf {w}$
두 개의 클래스 $w_1, w_2$와 각 클래스와 연관된 데이터의 우도(Likelihood)를 다음과 같이 가정하자.
$$p(\mathbf {x} | w_1) = \mathcal {N} \left ( \begin{pmatrix} -1 \\ -1 \end {pmatrix} , \begin{pmatrix} 2 & 0 \\ 0 & 1 \end {pmatrix} \right), p(\mathbf {x} | w_2) = \mathcal {N} \left ( \begin{pmatrix} +1 \\ +1 \end {pmatrix}, \begin{pmatrix} 2 & 0 \\ 0 & 1 \end {pmatrix} \right)$$
피셔의 판별식 $\mathbf {w}$은 다음과 같이 구할 수 있다.

반대로 $arg \min_{\mathbf {w}} \frac {\mathbf {w}^{\top} S_B \mathbf {w}}{\mathbf {w}^{\top} S_W \mathbf {w}}$를 만족하는 $\mathbf {w}$를 계산하면 다음과 같다.

LDA의 한계
LDA의 목적 함수(Objective Function)는 이차 방정식(Quadratic)의 형태를 가지며 이를 계산하기 위해 경험적 평균(Empirical)을 요구한다. 이상치(Outlier)가 존재 시 경험적 평균의 값에 큰 영향을 주기 때문에 효과적으로 LDA를 사용할 수 없다.
1. Richard O. Duda, Peter E. Hart, and David G. Stork. 2000. Pattern Classification (2nd Edition). Wiley-Interscience, USA.
2. Müller, K.R., Montavon, G. (2021). Lecture on Machine Learning 1-X. Technische Universität Berlin, Berlin, Germany.
'Informatik' 카테고리의 다른 글
[Machine Learning] 나이브 베이즈 분류(Naïve Bayes Classification) (0) 2022.02.21 [Machine Learning] 인공 신경망(Artificial Neural Network) (0) 2022.02.18 [Machine Learning] 공분산 행렬(Covariance Matrix) (0) 2022.02.16 [Machine Learning] 상관계수(Correlation Coefficient) (0) 2022.02.16 [Machine Learning] 퍼셉트론 인공신경망(Perceptron Artificial Neural Network) (0) 2022.02.16 - 클래스 차이를 최대화하는